在现场扩声系统中应用立体声次低频系统在听感上的优势

时间:2017/09/26 来源:专业视听网

关键词: 扩声系统

摘要

最近对低频声源定位的研究表明最低可定位频率与房间尺寸、声源/听音者位置和空间混响特性有关。因此,较大的空间有助于对低频声源的精确定位,理论上相对于按流行的单声道次低频系统来说,宽频多通道现场回放系统应该能够提供更好的听感。本文会探讨是否单声道次低频系统会成为听感提升的主要限制,以及立体声次低频系统是否能够提供出色的音效。这项调查通过双耳测量和一系列聆听测试来对单声道和立体声次低频系统进行比较,立体声次低频系统采用常见的左/右立体声配置。

1. 引言

在过去的数十年间,立体声配置在现场扩声扩声系统中已经成为事实标准,并且在大多数情况下是通过调节调音台的声像来实现的(基于如Rayleigh的Duplex理论所描述的耳间电平差)。如果对这项技术的优点/缺点进行深入讨论的话,那么可能会由于声学感知的主观特性而耗费大量时间而又无法得出明确的结论。因此,本文仅对这个主题的一项分支进行讨论:立体声低频扩声系统的益处。

在现场扩声场合中应用立体声次低频系统这个主题变得非常有趣的原因是,本文作者在过去的十数年间的观察结果:越来越多的音频工程师选择(在很多情况下,坚持)使用一个单声道辅助输出总线为次低频系统提供信号。次低频扬声器的信号来源与立体声主输出总线没有关联,这种做法的出现是由于音频工程师们认为可以控制将哪些乐器的信号发送至次低频系统是一个比较好的混音方式。但是单声道次低频系统的使用带来了另外一个问题,是否会由于使用这种系统架构而损失一些东西呢?

本文通过例如双耳录音和实际试听等主观评价方式对这一问题进行研究。在第二章节中,我们对当下对低频声源在封闭空间内的定位的观点进行了描述,并侧重于对房间布局和声源/听音者位置进行讨论。在第三和第四章节中,我们对一些实验性的测量方法和结果进行了描述,并集中对数据分析和潜在的可能性(第五章节)进行了讨论。

2. 低频声源定位

对声源定位的研究可以追溯到一个世纪之前Rayleigh于1800年代进行的研究。随后,基于瑞商定律的研究对人类如何对声源定位(特别是在水平平面上)进行了详尽的描述。对头部相关的传递函数(HRTF)的研究将这一问题的研究扩展到了3维空间,由于人类的双耳的非对称性,声波到达头部两侧人耳的传播路径会出现轻微差异。

在专业领域,对于声源定位的研究略有争议的论题是:人类对低频声源的定位能力到了什么程度,以及更重要的是,在扩声中带指向性的低频音源是否重要。作者之前的论文对此论题进行了文献综述,阐明了各方观点。

迄今为止,有14篇集中讨论这个特定主题(或者至少非常接近的相关主题)的文章。其中6篇文章的结论是带指向性的低频声源非常重要和/或可预测,而另外6篇的结论是带指向性的低频声源并不重要和/或不可预测的。还有2篇文章给出的结论是混合性的,并且指出了要解决这个问题所需要进行的工作。

这些论文的一个共同点是,试听仅在一个房间中进行,且试听者的听音位置在房间的中央。而我们的研究检视了之前的研究结果,并往前深入一步,基于房间布局、声源和听音者位置来模拟声源定位,形成一个初步假说。这项研究证明了,要实现对声源的定位,听音者与声源之间的距离大约为1.4倍该频率波长。

这个结果表明,测试空间越大,可定位的频率下限越低。在现场扩声应用场合,场地空间通常都比较大,因此我们可以合理的假设低频声源的确是可以被定位的。但一个关键问题是,在宽频段的音频信号当中,带指向性的低频信号是否有意义。这是我们将在本文当中重点讨论的问题。

3. 实验方法

我们在实验中使用了两个类型的场地:1个大尺寸的室内扩声系统测试室(房间尺寸为11.6 x 10.6 x 9.1 m),测试室的平均混响时间为0.5s;1个室外场地(唯一不同的是在“舞台”背后有一个大型建筑物,在距离扬声器大约10m的位置有1个小型停车场)。在两个场地使用了配置完全相同的扩声系统。

扩声系统由2只双18寸低频扬声器和2只摆放在低频扬声器上面的全频扬声器组成。这两组扬声器之间的距离为6.4m,以舞台中线为中轴对称摆放。在室内测试当中,这两组扬声器分别与距离最近的侧墙间隔2.1m,与背墙的间隔为4.75m。

我们在一个按照3 x 3的布局方式设置了9个测量点。在室内测量空间当中,测量点的第一排位于房间长度一半的位置,其他两排分别摆放在房间长度2/3和5/6的位置。每排之间的间隔为1.94m。每一排的中轴都位于房间宽度的中点位置,其他两点与中轴的距离各为房间宽度1/4(间距为2.65m)。在户外测量当中,测量点的间距保持一致,以扬声器组间距的中点作为参考。

3.1. 客观测量

客观测量通过一个带人工耳廓、分别配置了拾音器的假人头进行。拾音器拾取的信号被发送至运行用于录制和保存音频信号(24 bit / 48 kHz)的定制版Matlab软件的笔记本电脑(通过Sound Devices USBPre音频接口)。。

假人头被安装在一个直立的话筒架上(话筒的高度为1.2m),并被依次摆放至每一个测量点。每次测量都按照间隔5秒的方式播放3段音乐片段。我们使用的音乐片段的低频部分都不是单声道,曲目如下:

1. Utne Wire Man – Blue Man Group

2. Comfortably Numb – The Bad Plus

3. Echoes – Pink Floyd

音频信号录制了两次:第一次是将左声道和右声道信号作为单声道信号发送至次低频扬声器(发送到次低频扬声器的左声道和右声道信号均为-6 dB);第二次是分别将左声道和右声道信号发送至左/右两侧次低频扬声器(左右声道信号均为0 dB)。在两次录制过程中,发送至高频扬声器的信号均经过分频点为100 Hz的分频器处理。

所有测量结果都使用专有名称保存为立体声wav文件,这些文件用于随后进行的分析工作。

3.2. 主观评价

主观评价测试在室内环境进行,听音区域为中间一排的测量点位置。测试素材同样使用了上述的3个音乐片段。参与者坐在每个测量点,音乐素材播放A/B随机切换方式。参与者需要在每一个听音位置对听到的两段音乐素材听感进行评价,并且对听音时长没有限制。

A/B对比所使用的音乐素材和每段音乐素材采用单声道或立体声配置情况均采用随机选择方式。每一次全过程测试的时长平均为10分钟。

每一位参与者的主观评价数据和客观测量数据都被用于结果分析。

4. 数据分析

我们使用双耳录音方式来试图将客观测量与对扩声系统重放的听感关联起来。在这种情况下,我们将注意力集中于扩声系统重放的精确性,以探知立体声次低频扩声系统是否有益。

数据分析的第一步是将录音中的静音部分去除(如前所述, 三段音乐素材以5秒钟为间隔录制于同一个文件之内)。我们使用了一系列门限处理器来标记每一个测量片段的起点,录制的文件被分割为3个独立的片段,并且这些片段都经过再次采样处理以确保它们的采样率相同。由于PC处理数据的内存限制,最大可用采样率是32 kHz,也就是说数据分析的最高频率上限是16 kHz。由于我们的研究目标是低频部分,所以这个频率上限不会造成影响。

录音文件的长度经过修整之后就可以分析工作了。每一段测量信号都会与其相对应的信号源通过计算两个信号峰值之间的互相关来进行比对。这个对比过程分别对立体声信号中的左声道和右声道信号独立进行,并取两个信号的平均值作为度量标准。

一旦所有互相关的信号峰值被确定之后,也就意味着每一个测量点的3个音乐片段都已经过计算,并且计算结果也被绘制为曲线图。由于单声道和立体声次低频系统之间的峰值互相关存在差异,因此户外测试结果以图形方式(Fig. 4.1)表示。对于立体声次低频系统来说,正数值表示相关性更高;对于单声道次低频系统来说,负数值表示相关性更高。

图中的底部为舞台前段区域,测量点在水平和垂直轴向的位置以整数指数的方式表示。

Fig 4.1中所示的结果显示了一个我们在研究开始的时候完全没有预料到的有趣现象。我们预期在中央位置的听音者(宽度测量位置指数为2)会在立体声次低频系统配置下获得最好的听音效果,并且会随着听音位置偏离轴向而逐渐劣化。但是,图中所示的结果却正好相反。

听音者在中央位置的听音点并没有从立体声次低频系统中获得任何好处,图中显示了在中央听音点拾取到了大量频率更高的成分。而在偏离中轴的测量点情况却完全不同,测量结果显示在立体声次低频系统配置时离轴区域的效果最佳。由此产生的问题是,为什么立体声次低频系统会使离轴区域的效果好于中轴区域。

本文提出的理论或许平平无奇,但确是导致这个结果产生的基础。在离轴区域能够获得较佳效果的原因是,立体声次低频系统拥有立体声信号相互之间没有相关性这个特性,并且这一特性与次低频系统工作带宽无关。这种无相关特性抑制了在听音区出现波谷,而波谷通常是在一个较宽的听音区提供均匀低频覆盖时的主要障碍。

为了进一步探究这个理论,每一个测量点的传递函数通过都输入和输出信号进行快速傅里叶变换(FFT)算法进行计算出来。输出信号的计算结果与输入信号的共轭复数相乘(与MLS测量结果分析类似)并根据FFT长度进行比例缩放,然后在经过傅里叶变换逆变获得矢量数据并得到每一个测量点的快速传递函数。从40 – 100 Hz(受测次低频系统的工作带宽)的频率响应通过曲线图表示,我们对单声道和立体声系统横跨中间一排的测量点(长度指数2)的数据均进行了测量,结果如Fig. 4.2所示。

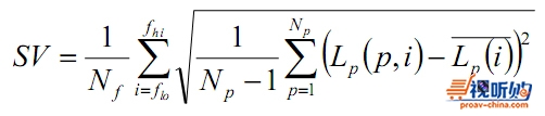
很明显,立体声次低频系统在听音区的频率响应振幅变化更小。这个结果可以通过以下等式计算这3个测量点在单声道系统和立体声系统条件下的空间变化幅度:

其中:

SV = 空间变化幅度(dB)

Nf = 频率数量

Np = 测量点数量

flowfhi = 频率范围(Hz)

Lp(p, I)= 频率为i时在测量点p的声压级(dB)

Lp(i) = 频率为i时在所有测量点的声压级(dB)

在户外测量当中,单声道次低频系统的空间变化幅度为6.5 dB,立体声系统的变化幅度为4.9 dB,变化幅度减小了24%。左声道和右声道频率响应的非对称性是由于用于测试的音乐素材(非标准测试信号)和在扬声器组后方的建筑物边缘(几乎与右侧扬声器组平齐)导致。

室内测量数据的分析过程与户外测量的数据分析过程相同。如Fig. 4.3和4.4所示,在听音区内出现了由于相干产生的波峰。

在室内测量环境中,单声道和立体声次低频系统的空间变化幅度分别为4.2 dB和3.5 dB,变化幅度减小了16%。改善幅度小于户外测量的原因是由于房间的影响;频率响应的非对称性是由于大尺寸物体(舞台、台阶等等)导致,并且入口走廊位于房间的左后方。

如3.2.章节所述,我们仅在室内进行了主观聆听测试。由于参与人数较少,因此主观聆听测试仅仅是一个非正式测试。由于这个原因,我们不可能对主观聆听测试的结果进行统计分析,但在这项测试中仍然显示出了一个明显的倾向。参与者发现很难区分单声道和立体声次低频系统,这可能是由于在听音区出现了大量频率更高的能量成分。

尽管两个类型的次低频系统之间声音感知区别非常小,但参与者在离轴区域感受到了低频能量的整体提升。这一结果和测量结果几乎一致,由于单声道系统中次低频扬声器之间的间隔导致相关信号之间出现干涉,并使听音区内出现大量波谷;而在使用立体声次低频系统时,由于左/右声道立体声信号无相关的天然属性,从而抑制了在听音区出现波谷。

5. 论述

我们提出对这一问题的研究是希望得知在一个听音区较宽的现场扩声应用场合使用立体声次低频系统是否能够提供更好的听觉体验(在提供立体声声像方面)。即使聆听测试是非正式的简单测试,但结合其测试结果与双耳测量数据来看,立体声次低频系统在这个方面并不能提供更好的听觉体验。

在人们的期待中,听音区的中点位置(与左/右扬声器组等距的位置)在使用立体声全频扩声系统时听感最佳,因此这些位置被称为“甜点”。但是,当使用立体声次低频系统时在这些位置无论是主观上还是客观上都没有获得更好的听音效果,而在离轴区域却显示出了对立体声系统和单声道系统变换时较高的敏感度。这个结果使我们的工作从一开始就走向了预期之外的路径。

在当前的现场扩声应用场合当中,单声道次低频系统是主流配置方式。由于在听音区出现零压力点,这种系统配置方式会由于在這些零压力点的低频衰减而损害听众的听觉体验。不采用将单只次低频扬声器按照均匀的间隔摆放在舞台前端(能够减少波谷的出现)的布局方式,而使用左/右声道配置的立体声次低频扬声器组是否能够出现明显改善,目前业界对此并无定论。

我们的研究发现立体声次低频系统在这一方面有明显改善的原因是立体声信号固有的无相关特性,这个特性减少了有害的信号相干,并且显著的降低了波谷出现几率。测试所用的音乐片段是由于当中的低频乐器(地鼓和贝司等等)在混音中的声像位置处于离轴区域,因此在左/右声道信号当中具有无相关特性,但是在大多数现场活动中地鼓和贝司的声像定位通常处于混音当中的中轴。

由此产生了一个问题,是否能够通过信号处理技术来实现低频信号的无相关特性,并借此部分解决零压力点的问题。一些早期的研究显示,使用离散式信号处理技术能够在一定程度上使由多个点声源辐射的单声道音频信号具备无相关特性,这项技术的核心是分布式扬声器布局。这项技术揭示了当空间分隔的声源进行叠加时,形成有益干涉和有害干涉的区域是离散式分布的。这些离散式分布的干涉区域反而形成了一致性更好、覆盖面更宽的极性分布特性。在下一步工作章节中,我们提出着重于低频扩声应用(多只次低频扬声器来对较大尺寸的区域进行覆盖),对这个信号处理技术进行深入研究。

有趣的是,实际上在几年前就已经有了一个与之相似的实例。扩声系统的单声道次低频信号路由被配置为两个独立的处理通道,应用于每个通道信号的滤波器略有不同,因此使这两个通道的信号具备了无相关特性。这种无相关特性避免了在听音区大量出现波峰和波谷的问题。那么剩余的问题就是,是否会有一种更加复杂、引入了随机相位技术的信号处理技术能够进一步改善低频覆盖的均匀度问题(减少波峰和波谷的出现)。

6. 结论

这个研究的初衷是对立体声次低频系统在于全频系统一起使用时,相较于单声道次低频系统是否能够会产生可感知的差异。双耳测量和非正式听音测试的结果表明,在现场扩声应用场合使用立体声次低频系统并不会产生可感知的差异。

有一点需要特别注意的是,测试信号是通过混音系统的声像控制实现立体声输出的而不是延时。通过加入延时的手段实现立体声输出或许对于低频定位来说是一个更好的选择,这也是Rayleigh的Duplex理论中的关键点。对于这个观点需要在将来进一步研究,并通过这些研究结果来最终确定在现场扩声应用当中将立体声次低频系统作为改善主观听感的手段是否有效。

尽管并没有确实的证据可以证明立体声次低频系统可以在现场扩声应用当中改善主观听感,但我们的研究发现了在一个关键问题上立体声次低频系统的确能够提供帮助。由于左/右声道信号固有的无相关特性,在听音区会大幅减少有害的干涉现象,从而减少了波峰和波谷出现的几率。当然,这并不是一个新观点。但是,我们仍然应当对使用随机相位处理技术在不影响音质的前提下究竟能够将波峰和波谷的出现抑制到什么程度进行研究。

总的来说,立体声次低频系统看起来并不能在现场扩声应用当中为我们提供更出色的主观听感,但它们的确可以在听音区降低空间振幅变化的幅度,从而使我们能够在一个大尺寸现场活动当中获得更均衡的听觉体验。

热门技术探讨更多>>

同类产品或技术文章列表更多>>